- Validity- 1st Feb to 31st March 2021
- Under EMI payment mode, customer has to select his issuing bank and the respective No Cost EMI/ EMI with Interest rates will be displayed.
- This should be the only product in your cart to avail the offer.
- You should check the details tab before selecting the EMI plan to complete his purchase.
- Some bank may charge additional fees for EMI conversion, please check with your issuing bank for the charges.
- No two offers can be clubbed together.
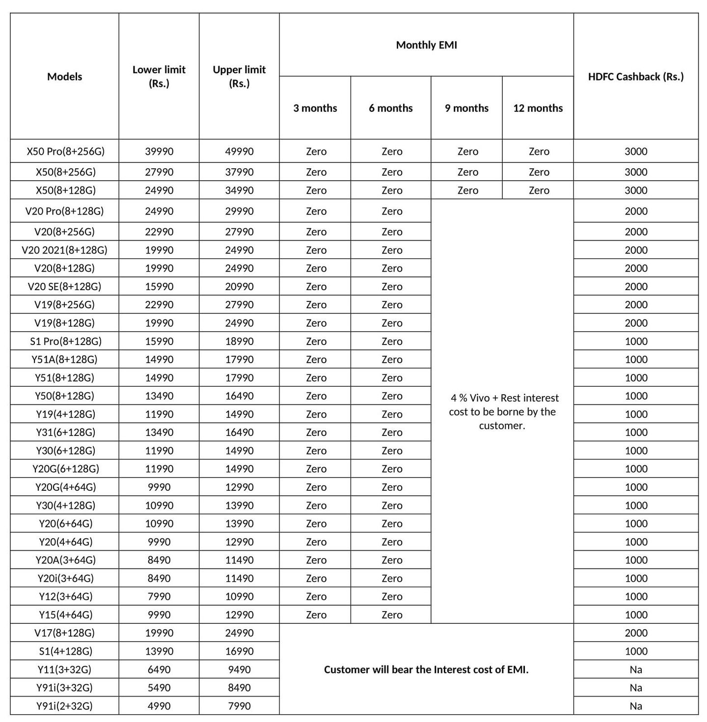
- Customer is eligible for No cost & low cost EMI offers on 3, 6, 9 & 12 Months credit EMI transactions only As per below chart:
- Cashback is available for HDFC Bank card EMI transactions only as per below table
- Cashback would be credited within 90 days from the date of Purchase.
- Maximum upto 1 transactions per card per month is allowed for EMI & only 1 card usage for 1 product.
- Any Interest, Service Tax, Government Levies, Processing Fees charged by the issuing Bank will be borne by customer
- Croma may ask for Invoice copies/supporting document for Verification of transaction. Failure to provide the same within seven (07) days may lead to withdrawal of facility & recovery of back amount from the customer.
- Customer should select the offer on the payment page under “view all offers” and complete his purchase through EMI mode of payment to avail the benefit.
;